Questions? Call us Now!(+1) 609-500-4165 DONATION

Scholarships


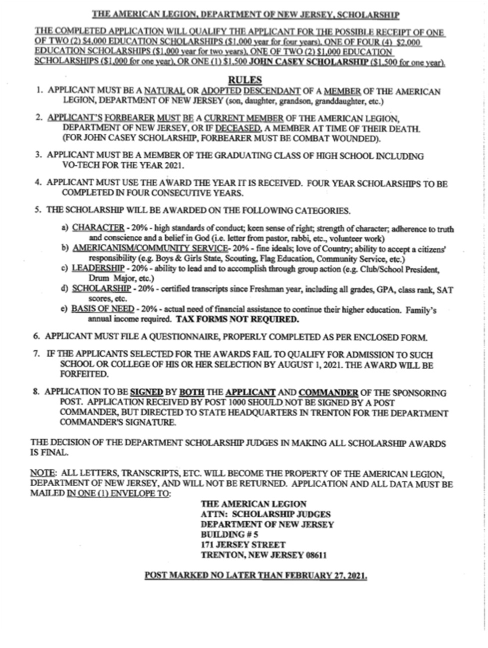
The American Legion Scholarship Programs are open to all natural descendants or adopted descendants of a member of the American legion, or department of NJ. The following forms are available for review:



Scholarship
Scholarship
Scholarship


Follow Us On...

Subscribe Newsletter

Sign up for our mailing list to get latest updates and offers.




By Submitting this form you are confirming you have read and agreed to our website terms of use privacy policy.
Signup